檢定彈簧管式壓力表常見故障解決與不確定度評定
介紹了彈簧管式壓力表在目前工業中的重要性,提出了彈簧管式壓力表在使用和檢定過程中存在 的問題,以及在檢定過程中常見的故障和維修方法,并重點對彈簧管式壓力表進行了詳細的不確定度分析評定。
在工業過程控制與技術測量過程中,由于彈簧管 式壓力表結構簡單牢固,測量范圍寬,可以直接測量 各種介質的壓力,指示清楚直觀,操作、使用和維修 方便,且價格低廉,使得彈簧管式壓力i得到越來越 廣泛的應用。由于目前生產現場大部分都使用彈簧管 式壓力表,因使用頻繁,也使得其在使用過程中出現 了各種各樣的問題,所以對其進行強制檢定、調修以 及不確定度評定是非常必要的一項工作。本\根據工 作經驗及相關資料,組合為本文內容,希望能夠解決 大家在日常檢定過程中遇到的問題。
1.彈簧管式壓力表工作原理
彈簧管式壓力表是由表殼部分、指針、刻度盤部 分、彈簧彎管、傳動機構部分和管接頭等五個主要部 分組成。彈簧管式壓力表的工作原理是彈簧管在壓力 和真空作用下,產生彈性形變引起管端位移,其位移 通過機械傳動機構進行放大,傳遞給指示裝置,再由 指針在刻有法定計量單位的分度盤上指出壓力或真空 量值。彈簧管式壓力表所測量的壓力一般視為相對壓 力,一般相對點選為大氣壓力,刻度盤的指示范圍一 般做成270。,測量范圍—般在(XI?250 MPa。
2.常見故障與維修辦法
1)指針偏離零點,且示值的誤差遠超過允許誤差 值,應取下指針重新安裝并調校,必要時更換彈簧管。
2)每一檢定點超差值相同可以在升壓以后,在 除零點以外的第一個檢定點重新安裝指針,校準示值 這里需要強調的是很多人習慣在零點調修,這種方法 是不科學的。
3)差值呈線性誤差。誤差逐漸增加時,將示值調節 螺釘向外移以增加臂長;反之,則向內移,減少臂長。
4)示值超差先快(正誤差)后慢(負誤差)。反 時針方向轉動機芯,擴大拉桿與扇形齒輪的夾角;反 之,則順時針方向轉動機芯,縮小夾角經過調整后。
誤差呈線性誤差,再移動示值調節螺釘即可
5)示值在壓力一半附近超差升壓以后,可在中 間位置重新安裝指針,若不能消除誤差,就應該調整 拉桿與扇形齒輪的夾角,進行綜合調整。
6)僅有一兩個點超差檢查機芯在該點附近的配 合情況,當為正差時,齒輪嚙合處有污物、毛刺;為 負差時,齒牙磨損或有裂縫,應修補或更換。
7)對一塊壓力表多次調整,但來回差依然超差, 且指針不回零位,則可能是彈簧管變形,需重新更換
另外,在增減壓力過程中指針輕敲位移過大,會出 現指針遲滯、卡針等現象,造成這類現象的原因一般為 彈簧管式壓^表傳動機構出現故障,須做相應處理( 調整結束后,裝配好儀表各部件,按照檢定規程 重新進行檢定。
3.不確定度評定
3.1測量概述
1)測量依據
JJG52 - 1999《彈簧管式一般壓力表壓力真空表和 真空表檢定規程》。
2)環境條件
①溫度:(20 ±5)^:;②濕度:^85%
大氣壓;®靜置:2h以上。
3)測量標準
0. 25級0?60 MPa彈賛管式精密壓力表。
4)被檢對象
1.6級0~40 MPa彈簧管式一般壓力表。
5)測量過程
通過升壓和降壓兩個循環將被測壓力表在各檢定 點與標準器比較,讀取被檢表示值。此時被檢表示值 與標準器產生的標準壓力值之差值即為被檢壓力表的 示值誤差。
6)評定結果的使用
在符合上述條件下的測量,一般都可直接使用本 不確定度的評定結果。
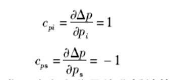
3.2數學模型
?p=pi-ps
式中:Ap為被檢表的示差? &為被檢表檢定點的 壓力示值;/;s為標準器檢定點的&力值。
根據數殺定義,靈敏系數就是對數學模型表達式 的各分量求偏導,則
3.3各相對標準不確定度分量的分析計算
l)重復性的影響
取—只1.6級、0?40 MPa,最小分度值為1 MPa的 彈簧管式一般壓力表,對該表進行全量程的檢定,選取示
值誤差最大點30 Mpa,在該點重復測量10次,以該點的 測量重復性來估算其相對標準不確定度。如表1所示。
這里需要注意的是檢定規程表1規定“允許誤 差% (按測量上限的百分數計算)”。既然測量結果 (即示值誤差)是按測量上限作分母得到的,因為測 量不確定度的表達形式應該與測量結果的表達形式保 持一致,所以測量結果的不確定度也應該是按測量上 限作分母計算得到。
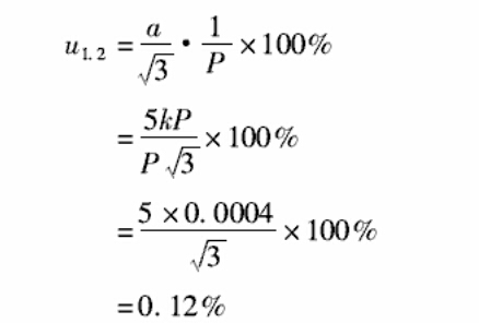
2)溫度的影響
根據規程的規定,檢定彈簧管式一般壓力表的溫 度范圍為溫度對被檢表的影響,其表達 式為
?=kP、-20)
式中:厶為誤差;&為溫度影響系數,&=0.0004/^:; P為量程。
從表達式可以看出,誤差的分布服從均勻分布, 以半區間計算,有
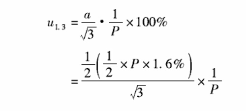
3)示值變動量的影響
JJG52 - 1999 呈7^直$云力;R
的最大允許值為允許基本誤差的一半,其分布也屬于 均勻分布,以全區間計算,有
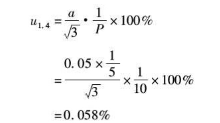
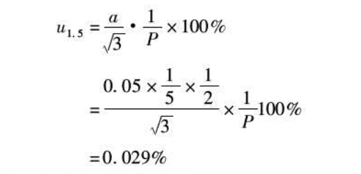
4)估讀的影響
對于指針類的刻度儀表,要求估讀至最小分度值 的1/5,由于操作者的習慣視力及指針與刻度盤間有 距離,視線可能產生偏角,因此,估讀誤差同樣以± 1/5分度值估計,該誤差分布同樣服從均勻分布,以 半區間計算,有

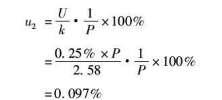
3.4標準器的相對標準不確定度
對標準表而言,其概率分布服從正態分布(給定置信概率/, =0.99%),則查表得=2. 58,即
由于相對于一般壓力表,精密壓力表的溫度影響、 示值變動量的影響估讀的影響較小,可以忽略不計。
3.6相對合成標準不確定度
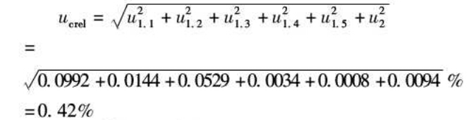
3.5標準不確定度分量一覽表 各標準不確定度分量見表9
/a 0992 +0.0144 +0.0529 +0. 0034 +0.0008 +0. 0094 % =0. 42%
3.6相對合成標準不確定度
3.7相對擴展不確定度
U^i = kuCTci =2 xO. 42 % =0. 84 %
3.8結果分析
對比于1.6%'該評定結果合理


